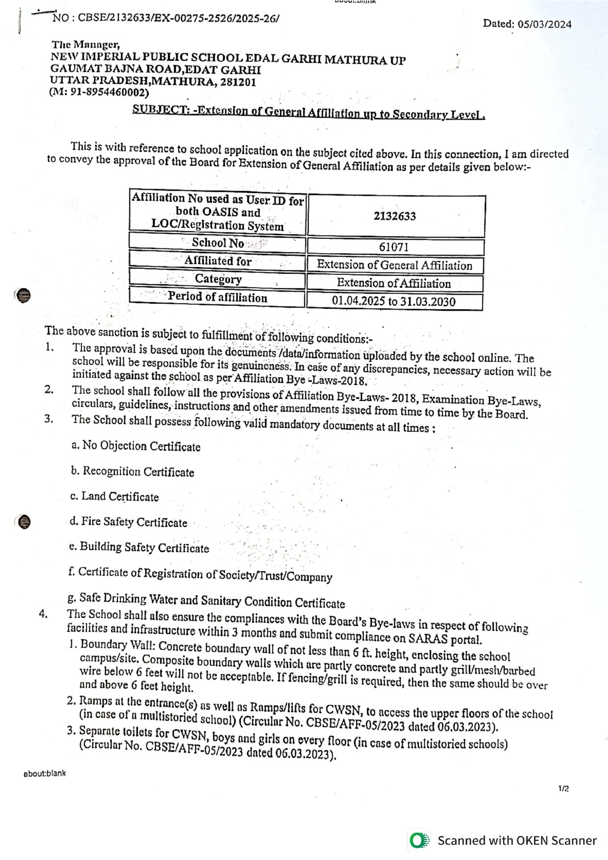
Upradation Letter

Download Now image
image